从宝鸡市二模数学试题的导向性看高三后期数学复习策略

发表时间:2021/8/17   来源:《中小学教育》2021年4月10期   作者:汶小涛
[导读] 市二模数学试题落实立德树人根本任务
        汶小涛
        眉县中学   陕西宝鸡   722300
        市二模数学试题落实立德树人根本任务,贯彻德智体美劳全面发展教育方针,坚持素养导向、能力为重的命题原则,体现了探索与引领导向作用。试题重视数学本质,突出理性思维、数学应用、数学探究、数学文化的引领作用,突出对关键能力的考查。试卷体现了基础性、综合性、应用性和创新性的考查要求,难度设计科学合理,很好把握了稳定、创新、改革的关系,对高考数学命题方向、引导后期复习教学将起到积极的作用。

       

               
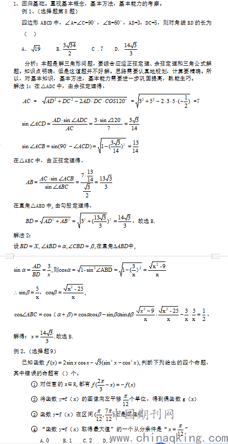
        通过对宝鸡市数学二模试题的分析,高考后期复习一定要从考察的重点难点上进行突破。重点训练学生综合应运知识的能力、问题的转化能力、运算能力及其准确性简洁性、建立数学模型解决实际问题的能力、重点问题难点突破的训练、让学生对考试的重点及其解题方法了然于心,助力莘莘学子圆梦高考。
        作者简介:汶小涛(1971.2-)男,汉族,陕西宝鸡,中一,本科,单位:陕西眉县中学,研究方向:高中数学教学
投稿 打印文章 转寄朋友 留言编辑 收藏文章
  期刊推荐
1/1
转寄给朋友
朋友的昵称:
朋友的邮件地址:
您的昵称:
您的邮件地址:
邮件主题:
推荐理由:

写信给编辑
标题:
内容:
您的昵称:
您的邮件地址: