关于三次函数的解法与思考

发表时间:2021/8/13   来源:《教学与研究》2021年8月上   作者:劳科挺
[导读] 三次函数已经成为中学阶段一个重要的函数,在高考和竞赛中频繁出现有关它的单独命题

慈溪赫威斯育才高级中学  劳科挺

        三次函数已经成为中学阶段一个重要的函数,在高考和竞赛中频繁出现有关它的单独命题,基本每一年的全国高考中,各大省市都有出现,特别是以压轴的形式出现,更应该引起我们的重视,三次函数的考察形式多出现在以导数为载体,但由于三次函数的导数是二次函数,而二次函数是高中数学中的重要内容,所以三次函数问题已经成为高考命题的一个新的热点和亮点,大量模拟题的出现,更需要广大师生多进行研究,以便掌握规则,培养解题能力!
        下面以一道真题为例,谈谈解题方法,并做适当的推广。

       

       

       
       
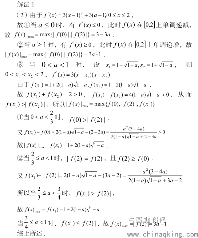
        解法1的做法是高中最常规的解法,也是平时反复强调训练的方法,部分学生能考虑到,但由于讨论繁琐,计算复杂,导致半途而废。要知道,我们高中阶段所研究的基本初等函数都具有一些简单的几何性质,利用性质求解,往往会有意想不到的收获,三次函数作为另一类基本函数,也具有一些性质,例如三次函数的图像对称性以及绝对值的对称性。

       

      
       
        三次函数不仅具有对称中心这一性质,还有很多好的性质,例如切线一类,大量习题中出现。解决此类题型,需梳理解题方法,将知识点与方法相综合整理,并将难题化归,提高学生的解题效率。注重培养数学素养和问题解决能力,鼓励学生多思考,多方位创造性思考,本题解答过程中,更换主元思想(解法3),曲径通幽。
        导数作为压轴题,历来令考生望而生畏,不战而退,而本题一题多解,优化解法,帮助学生找到了解决之道。含参的三次函数的最值问题,数形结合,具备了代数的复杂和几何的直观。在具体做题时,除了需要具备一定的运算能力之外,还要善于灵活多变,优化计算,提高解题效率!以此题为例,希望给广大师生带来一点启示。

 

 

 

 

 

 

 

 

 

 


 

投稿 打印文章 转寄朋友 留言编辑 收藏文章
  期刊推荐
1/1
转寄给朋友
朋友的昵称:
朋友的邮件地址:
您的昵称:
您的邮件地址:
邮件主题:
推荐理由:

写信给编辑
标题:
内容:
您的昵称:
您的邮件地址: