高中数学的创造性思维

发表时间:2020/7/6   来源:《新纪实》2020年第9期   作者:秦庆广
[导读] 在数学教学中培养学生的创造性思维是时代的要求。要培养学生的创造性思维,就应该有与之相适应的,能促进创造性思维培养的教学方式。

         大理州巍山二中  云南 大理  672401
       
        在数学教学中培养学生的创造性思维是时代的要求。要培养学生的创造性思维,就应该有与之相适应的,能促进创造性思维培养的教学方式。当前,数学创新教学方式主要有以下几种形式:
        一、开放式教学
        这种教学在通常情况下,由教师通过开放题的引进,在学生参与下解决,使学生在问题解决的过程中体验数学的本质,品尝进行创造性数学活动的乐趣。开放式教学中的开放题一般有以下几个特点。一是结果开放,一个问题可以有不同的结果;二是方法开放,学生可以用不同的方法解决这个问题;三是思路开放,强调学生解决问题时的不同思路。
        二、活动式教学
        这种教学模式主要是让学生进行适合自己的数学活动,包括模型制作、游戏、行动、调查研究等,使学生在活动中认识数学、理解数学、热爱数学。
        三、探索式教学
        采用“发现式”,引导学生主动参与,探索知识的形成、规律的发现、问题的解决等过程。
        要培养学生的创造思维能力,应当在数学教学中充分有效地结合上述三种形式(但不限于这三种形式),通过逐步培养学生的以下各种能力来实现教学目标:
        第一,培养学生的观察力。敏锐的观察力是创造思维的起步器。那么,在课堂中,怎样培养学生的观察力呢?第一,在观察之前,要给学生提出明确而又具体的目的、任务和要求。第二,要在观察中及时指导。第三,要科学地运用直观教具及现代教学技术,以支持学生对研究的问题做仔细、深入地观察。第四,要努力培养学生浓厚的观察兴趣。
        第二,培养领悟力。数学领悟力是可以在学习数学的过程中逐步成长起来的。在平时的数学教学中应该善于启发学生认识和理解所学的知识,并能熟练的掌握数学的基本方法和基本技能,通过培养学生的领悟能力,优化学生的数学思维品质,让学生达到“真懂”的地步。
        第三,培养想象力。想象是思维探索的翅膀。数学想象一般有以下几个基本要素。第一,要有扎实的基础知识和丰富的经验支持。第二,要有能迅速摆脱表象干扰的敏锐的洞察力和丰富的想象力。第三,要有执著追求的情感。因此,培养学生的想象力,首先要使学生学好有关的基础知识。其次,根据教材潜在的因素,创设想象情境,提供想象材料,诱发学生的创造性想象。另外,还应指导学生掌握一些想象的方法,像类比、归纳等。例如在一节高三复习课上,我准备用一题多解的开放视角引导学生探索如下的问题: ,在教师的点评帮助下,学生给出了四种不同的证法:作差比较法、综合法、分析法、三角换元法。教师对此感到满意,也潜意识认为没有其他证法了。但此时学生的思维大门已经开启,有的学生还想跃跃欲试,学生1展示了他的新探究: 
                              
         
        用无穷等比数列的和的公式来证明不等式本身就是一种创新,应该说思维非常巧妙。
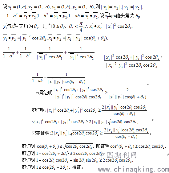
        学生2同样展示了他的新探究: 
            
         
         
         
        用向量来证明不等式,也是方法上的创新,这两种证法都体现了学生的大胆想象力、探究精神和解题机智。一个懂得如何学习的学生在课堂上的想象力是非常丰富的,一个好的教师也应该懂得怎样来培养和保护学生的想象力。有时候,学生的想象力可能是“天马行空”,甚至是荒唐的,这时候教师还要注意引导:解题是否浪费了重要的信息?能否开辟新的解题通道?解题多走了哪些思维回路?思维、运算能否变得简洁?是否有方法的创新?能否对问题蕴涵的知识进行纵向深入地探究,梳理知识的系统性?能否加强知识的横向联系,把问题所蕴涵孤立的知识“点”扩展到系统的知识“面”?为什么有这样的问题,它和哪些问题有联系?能否受这个问题的启发,得到一些重要的结果,有规律性的发现?能否形成独到的新见解,有自己的小发明?等等。通过不断地想象,让学生的思维能够持续飞翔,从而不断培养学生丰富的想象力。
        
       

投稿 打印文章 转寄朋友 留言编辑 收藏文章
  期刊推荐
1/1
转寄给朋友
朋友的昵称:
朋友的邮件地址:
您的昵称:
您的邮件地址:
邮件主题:
推荐理由:

写信给编辑
标题:
内容:
您的昵称:
您的邮件地址: